Hóa HọcTừ đề thi
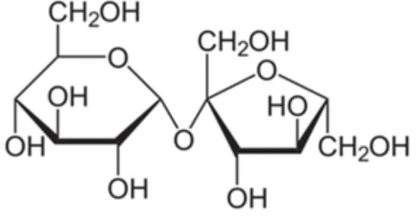
Câu 4. Cho cấu trúc carbohydrate X như sau: Carbohydrate X là A. maltose. B. saccharose. C. fructose. D. cellulose.
Đề bài
Câu 4. Cho cấu trúc carbohydrate X như sau:
Carbohydrate X là
A. maltose. B. saccharose. C. fructose. D. cellulose.

