Tài liệu hỗ trợ

Tải MIỄN PHÍ file Word kèm ma trận và lời giải chi tiết

Liên hệ Zalo 0915347068 để nhận file nhanh chóng.

Liên hệ Zalo 0915347068

34 - THPT AN DƯƠNG (LẦN 2) - HẢI PHÒNG - [Thi thử Tốt Nghiệp THPT 2026 - Môn Hóa Học ]

(Đề thi có ... trang)

Môn thi: Hóa Học

Năm 2026

Thời gian làm bài: ... phút, không kể thời gian phát đề.

Họ, tên thí sinh:

Số báo danh:

Phần I: Câu trắc nghiệm nhiều phương án lựa chọn. Thí sinh trả lời từ câu 1 đến câu 18. Mỗi câu hỏi thí sinh chỉ chọn một phương án.

Câu 1. Tyrosine là một α-amino acid có công thức cấu tạo như sau:

Nhận định nào sau đây về tyrosine là sai?

A.  Có tính chất lưỡng tính.

B.  Tác dụng được với nước bromine.

C.  Có phân tử khối là 181.

D.  Tác dụng với NaOH dư theo tỉ lệ mol 1 : 1.

Xem chi tiếtXem đáp án và lời giải

Câu 2. PE là một polymer thông dụng, dùng làm chất dẻo (chất dẻo chứa PE chiếm gần 1/3 tổng lượng chất dẻo được sản xuất hàng năm). Trong đời sống, PE được dùng làm màng bọc thực phẩm, túi nylon, bao gói, chai lọ đựng hoá mĩ phẩm,... PE được điều chế từ monomer nào sau đây?

        A. Styrene.        B. Propylene.        C. Ethylene.        D. Vinyl chloride.

Xem chi tiếtXem đáp án và lời giải

Câu 3. Hợp chất hữu cơ X có công thức cấu tạo như sau:

Phát biểu nào sau đây không đúng?

A.  X thuộc loại muối sodium alkylbenzenesulfonate.

B.  X có công thức phân tử là C18H29SO3Na.

C.  X có đầu ưa nước và đuôi kị nước.

D.  X được sử dụng để sản xuất xà phòng.

Xem chi tiếtXem đáp án và lời giải

Câu 4. Aniline có thể được tổng hợp từ benzene theo sơ đồ chuyển hoá sau:

Theo sơ đồ trên, từ 1 tấn benzene sẽ điều chế được bao nhiêu kg aniline? Biết hiệu suất toàn bộ quá trình là 60%. (Làm tròn kết quả đến hàng đơn vị)

        A. 199        B. 517        C. 626        D. 715

Xem chi tiếtXem đáp án và lời giải

Câu 5. Xét pin Galvani hoạt động với phương trình tương ứng như sau: Zn + HgO → ZnO + Hg. Quá trình nào sau đây xuất hiện ở anode?

        A. Zn2+ + 2e → Zn                B. Hg + O2- → HgO + 2e

        C. Zn → Zn2+ + 2e                D. HgO + 2e → Hg + O2-

Xem chi tiếtXem đáp án và lời giải

Câu 6. Cồn 70° được sử dụng phổ biến trong y tế, dùng để sát trùng, diệt khuẩn,... Cách pha chế cồn 70° là

A.  Lấy 70 ml ethanol rồi thêm 100 ml nước.

B.  Pha 70 ml ethanol với 30 ml nước

C.  Pha 70 ml nước với 30 ml ethanol

D.  Lấy 70 ml ethanol rồi thêm nước để thu được 100 mL cồn.

Xem chi tiếtXem đáp án và lời giải

Câu 7. Maltose là một loại disaccharide có nhiều trong mạch nha. Công thức phân tử của maltose là

        A. C3H6O2.        B. C12H22O11.        C. C6H12O6.        D. (C6H10O5)n

Xem chi tiếtXem đáp án và lời giải

Câu 8. Cho dãy sắp xếp các kim loại theo chiều giảm dần tính khử: Na, Mg, Al, Fe. Trong số các cặp oxi hoá - khử sau, cặp nào có giá trị thế điện cực chuẩn nhỏ nhất?

        A. Fe2+/Fe.        B. Na+/Na.        C. Al3+/Al.        D. Mg2+/Mg.

Xem chi tiếtXem đáp án và lời giải

Câu 9. Biogas là một loại khí sinh học, được sản xuất bằng cách ủ kín các chất thải hữu cơ trong chăn nuôi, sinh hoạt. Biogas được dùng để đun nấu, chạy máy phát điện sinh hoạt gia đình. Thành phần chính của biogas là

        A. CO2.        B. NH3.        C. N2.        D. CH4.

Xem chi tiếtXem đáp án và lời giải

Câu 10. Các động vật ăn cỏ như trâu, bò, dê, cừu,... có thể chuyển hoá cellulose trong thức ăn thành glucose bằng enzyme cellulase để cung cấp năng lượng cho cơ thể. Phản ứng chuyển hoá cellulose thành glucose thuộc loại phản ứng nào sau đây?

        A. Tăng mạch polymer.                B. Cắt mạch polymer.

        C. Giữ nguyên mạch polymer.        D. Trùng ngưng.

Xem chi tiếtXem đáp án và lời giải

Câu 11. Thuỷ phân tripalmitin có công thức (C15H31COO)3C3H5 trong dung dịch NaOH thu được glycerol và muối X. Công thức của X là

        A. C17H33COONa.        B. CH3COONa.        C. C15H31COONa.        D. HCOONa.

Xem chi tiếtXem đáp án và lời giải

Câu 12. Chất X là chất dinh dưỡng, được dùng làm thuốc tăng lực cho người già, trẻ nhỏ và người ốm. Trong công nghiệp, X được điều chế bằng cách thủy phân chất Y. Chất Y là nguyên liệu để làm bánh kẹo, nước giải khát. Tên gọi của X, Y lần lượt là

        A. glucose và cellulose.                B. saccharose và tinh bột.        

        C. glucose và saccharose        D. fructose và glucose.

Xem chi tiếtXem đáp án và lời giải

Câu 13. Chất hữu cơ X được dùng trong sản xuất thuốc chữa bệnh, các chất phòng trừ dịch hại, chất dẫn dụ côn trùng, chất tăng tốc lưu hoá cao su và chất ức chế ăn mòn kim loại. Dung dịch X làm quỳ tím hoá xanh. Kết quả phân tích phổ khối lượng cho thấy phân tử khối của X là 45. Chất X có thể là

        A. formic acid.        B. methylamine.        C. methyl formate.        D. ethylamine.

Xem chi tiếtXem đáp án và lời giải

Câu 14. Chỉ số xà phòng hóa (SAP) của một chất béo là số mg KOH cần dùng để xà phòng hóa hoàn toàn 1 gam chất béo (bao gồm chất béo và acid béo tự do). Một loại dầu mè có chỉ số xà phòng hóa là 188. Khối lượng KOH cần dùng để xà phòng hóa hoàn toàn 500g dầu mè trên là

        A. 94 mg.        B. 376 mg.        C. 50 g.        D. 94 g.

Xem chi tiếtXem đáp án và lời giải

Câu 15. Một sinh viên tiến hành thí nghiệm thủy phân saccharose và kiểm tra xem dịch thủy phân có chứa glucose hay không thông qua các bước sau:

• Bước 1: Cho một lượng nhỏ saccharose nguyên chất vào nước để tạo thành dung dịch, đun sôi hỗn hợp trong vài phút và để nguội.

• Bước 2: Thêm vào vài giọt thuốc thử Tollens vào dung dịch đã để nguội, đun nóng nhẹ. Tuy nhiên hiện tượng quan sát được không thấy xuất hiện kết tủa silver.

Nhận định nào dưới đây là đúng.

A.  Sản phẩm thủy phân saccharose không có chứa glucose nên không xảy ra phản ứng tráng bạc.

B.  Thời gian đun nóng thí nghiệm chưa đủ nên không xảy ra phản ứng tráng bạc.

C.  Phản ứng không xảy ra do saccharose chưa bị thủy phân.

D.  Cần thêm dung dịch sodium hydroxide để làm xúc tác cho phản ứng thủy phân.

Xem chi tiếtXem đáp án và lời giải

Câu 16. Trong công nghiệp, phenol được điều chế chủ yếu từ chất nào sau đây?

        A. Than đá.        B. Cumene.        C. Chlorobenzene.        D. Benzene.

Xem chi tiếtXem đáp án và lời giải

Câu 17. Phương trình hoá học của phản ứng khi cho ethylene tác dụng với dung dịch Br2 là CH2=CH2 + Br2 → CH2Br-CH2Br

Cơ chế của phản ứng trên xảy ra như sau:

Nhận định nào sau đây không đúng?

A.  Trong giai đoạn đầu của phản ứng có sự hình thành liên kết σ.

B.  Phản ứng trên thuộc loại phản ứng cộng.

C.  Trong phân tử ethylene có 2 liên kết π.

D.  Trong giai đoạn đầu của phản ứng có sự phân cắt liên kết π.

Xem chi tiếtXem đáp án và lời giải

Câu 18. Benzoic acid và muối sodium của nó có tác dụng ức chế sự phát triển của nấm mốc, nấm men và một số vi khuẩn khác nên thường được sử dụng làm chất bảo quản thực phẩm. Benzoic acid có công thức cấu tạo là

        A. C6H5COOH        B. HCOOH        C. (COOH)2        D. CH3COOH

 

Xem chi tiếtXem đáp án và lời giải

PHẦN II. Câu trắc nghiệm đúng sai. Thí sinh trả lời từ câu 19 đến câu 22. Trong mỗi ý
A. ,
B. ,
C. ,
D. ở mỗi câu, thí sinh chọn đúng hoặc sai.

Câu 1. Tơ capron là polymer có tính dai, bền, mềm óng mượt, ít thấm nước, mau khô. Bên cạnh ứng dụng trong ngành may mặc, tơ capron còn được sử dụng làm dây cáp, dù, đan lưới, chế tạo các chi tiết máy. Một quy trình sản xuất tơ capron từ cyclohexanol được thực hiện theo sơ đồ sau:

        a) Thành phần trăm theo khối lượng của nitrogen trong phân tử caprolactam là 12,39%.

        b) Phản ứng (3) là phản ứng trùng ngưng.

        c) Tơ capron thuộc loại tơ nhân tạo.

        d) Nếu hiệu suất chuyển hoá từ cyclohexanol đến capron là 60%, thi cứ 2,0 tấn cyclohexanol thu được 1,356 tấn tơ capron.

Xem chi tiếtXem đáp án và lời giải

Câu 2. Một nhóm học sinh tìm hiểu về quá trình tạo acid lactic từ đường glucose thông qua lên men lactic, với giả thuyết: “Nhiệt độ càng cao thì lượng lactic acid thu được càng nhiều”. Nhóm đã thực hiện thí nghiệm như sau:

- Chuẩn bị: dung dịch glucose 5%, chế phẩm vi sinh vật lên men lactic (lactobacillus), 5 ống nghiệm có nắp, bếp điều nhiệt.

- Cách làm: Lấy 200 mL dung dịch glucose cho vào mỗi ống nghiệm. Thêm một ít chế phẩm vi sinh vào mỗi ống nghiệm. Đậy nắp và ủ ở các nhiệt độ: 20°C (mẫu
A. , 30°C (mẫu
B. , 37°C (mẫu
C. , 45°C (mẫu
D. , mẫu trắng không thêm vi sinh vật (mẫu trắng). Sau 3 ngày, lấy các mẫu đem lọc sạch, để ổn định ở nhiệt độ môi trường thì thấy thể tích dung dịch trong các mẫu hầu như không thay đổi là 200 mL. Lần lượt lấy 5 mL các mẫu: mẫu trắng và các mẫu 1; 2; 3; 4 rồi pha loãng thành 100 mL và tiến hành chuẩn độ bằng dung dịch NaOH 0,1 M với chỉ thị phenolphthalein.

Kết quả thu được như bảng sau:

Mẫu

Mẫu trắng

Mẫu 1

Mẫu 2

Mẫu 3

Mẫu 4

Vdd NaOH (mL)

0,0

5,6

8,2

10,5

7,0

Biết rằng trong các mẫu chỉ có chứa C6H12O6, CH3CH(OH)COOH (lactic acid) và H2O.


A. Nhiệt độ tối ưu cho quá trình lên men tạo acid lactic là 37°C.

        b) Từ kết quả thí nghiệm, kết luận giả thuyết của nhóm học sinh trên là đúng.

        c) Trong mẫu trắng đã có sẵn một lượng lactic acid đáng kể.

        d) Trong thí nghiệm trên, lượng acid lactic được tạo thành nhiều nhất trong một mẫu (200 mL) là 3,78 gam.

Xem chi tiếtXem đáp án và lời giải

Câu 3. Triglyceride đóng vai trò là nguồn cung cấp năng lượng và chuyên chở các chất béo trong quá trình trao đổi chất. Cho triglyceride X có công thức cấu tạo như hình sau:

Các kí hiệu (1), (2), (3) lần lượt là các gốc hydrocarbon trong cấu tạo của triglyceride X

        a) Công thức phân tử của X là C55H98O6.

        b) Acid béo có gốc kí hiệu (2) thuộc loại acid béo omega-9.

        c) Các gốc của acid béo không no trong phân tử X đều có cấu hình cis-.

        d) Hydrogen hoá hoàn toàn 427 kg X bằng hydrogen (dư) ở nhiệt độ cao và áp suất cao, Ni xúc tác được 432 kg chất béo rắn.

Xem chi tiếtXem đáp án và lời giải

Câu 4. Sự kết hợp giữa aspartic acid và phenylalanine tạo thành peptide, peptide này có thể được chuyển đổi thành methyl ester gọi là aspartame. Công thức của aspatic acid, phenylalanine, aspartame được cho sau đây:

Aspartame có vị ngọt nên được sử dụng trong thực phẩm không đường dành cho người bị tiểu đường. Ở nhiệt độ cao aspartame bị phân hủy tạo các amino acid tự do không có vị ngọt.

        a) Tên thay thế của aspartic acid là 2-aminobutane-1,4-dioic acid.

        b) Số nguyên tử hydrogen trong phân tử aspartame là 18.

        c) Có thể sử dụng aspartame để thay thế đường saccharose trong làm các loại bánh nướng.

        d) Tại pH = 7,0, khi đặt vào một điện trường, aspatic acid di chuyển về phía cực dương.

 

Xem chi tiếtXem đáp án và lời giải

PHẦN III. Câu trắc nghiệm trả lời ngắn. Thí sinh trả lời từ câu 23 đến câu 28.

Câu 1. Cần bao nhiêu kg chất béo chứa 89% khối lượng tristearin (còn 11% tạp chất trơ bị loại bỏ trong quá trình nấu xà phòng) để sản xuất được 1 tấn xà phòng chứa 72% khối lượng sodium stearate (kết quả lấy phần nguyên)

Xem chi tiếtXem đáp án và lời giải

Câu 2. Công ty Vedan Việt Nam sản xuất bột ngọt (monosodium glutamate – MSG) từ nguyên liệu chính là tinh bột sắn. Quy trình sản xuất gồm các bước chính sau:

• Bước 1: Thủy phân tinh bột sắn thành glucose: Tinh bột sắn được thủy phân thành glucose nhờ xúc tác axit hoặc enzyme.

• Bước 2: Lên men glucose thành glutamic acid: Glucose được lên men bởi vi sinh vật để chuyển hóa thành glutamic acid.

C6H12O6 → HOOC-CH(NH2)-(CH2)2-COOH + sản phẩm phụ

• Bước 3: Cho glutamic acid thu được phản ứng với dung dịch sodium hydroxide (NaOH) để tạo thành monosodium glutamate.

Biết rằng hiệu suất của quá trình thủy phân là 95%, hiệu suất của quá trình lên men là 80%, và hiệu suất của quá trình phản ứng với dung dịch NaOH là 90%. Tính khối lượng monosodium glutamate (kg, làm tròn đến hàng đơn vị) thu được từ 1 tấn tinh bột sắn.

Xem chi tiếtXem đáp án và lời giải

Câu 3. Dopamine (3,4-dihydroxyphenethylamine) là một chất có chức năng vừa là hormone vừa là chất dẫn truyền thần kinh, đồng thời đóng vai trò quan trọng trong việc điều khiển hệ thần kinh trung ương, đặc biệt ảnh hưởng đến việc tạo cảm giác hứng thú, động lực trong học tập, kiểm soát hành vi tư duy, trí nhớ và ngôn ngữ,... Trong y học, dopamine là một loại thuốc để tiêm tĩnh mạch, tác dụng ngoại biên của nó giúp ích trong điều trị suy tim hoặc sốc, đặc biệt là ở trẻ sơ sinh. Dopamine có công thức cấu tạo như hình dưới đây:

Cho các phát biểu sau:

(1) Dopamine thuộc loại arylamine.

(2) Trong phân tử dopamine có chứa các nhóm chức phenol và amine.

(3) Khi tác dụng với dung dịch HCl, dopamine tạo ra hợp chất có công thức phân tử C8H11O2NCl.

(4) Mỗi phân tử dopamine tác dụng tối đa với 2 phân tử KOH.

Có bao nhiêu phát biểu sai trong số các phát biểu trên?

Xem chi tiếtXem đáp án và lời giải

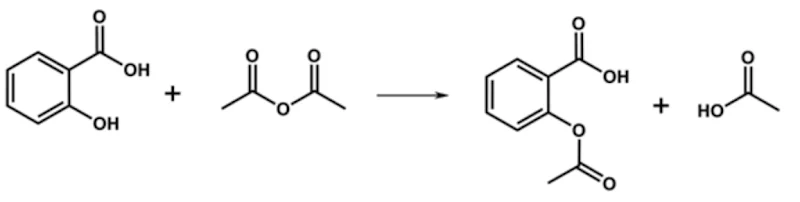
Câu 4. Aspirin (acetylsalicylic acid) được sử dụng trong y học để sản xuất thuốc chống viêm, hạ sốt. Trong phòng thí nghiệm, khi đun nóng hỗn hợp gồm 13,8 gam salicylic acid với 15,3 gam anhydride acetic (có xúc tác thích hợp) với hiệu suất 55%, thu được acetic acid và m gam aspirin theo phương trình hoá học:

Giá trị của m bằng bao nhiêu? (Làm tròn kết quả đến phần mười)

Xem chi tiếtXem đáp án và lời giải

Câu 5. Cho các polymer sau: polyethylene, poly(methyl methacrylate), poly(vinyl chloride) và polyacrylonitrile. Có bao nhiêu polymer được điều chế được bằng phản ứng trùng hợp?

Xem chi tiếtXem đáp án và lời giải

Câu 6. Tổng công ty dệt may Hòa Thọ (Cẩm Lệ – Đà Nẵng) nhận một đơn đặt hàng cung cấp sợi nguyên liệu nitron cho Công ty dệt may Hà Nội để hoàn thành đơn hàng áo len nam (3 size theo kích cỡ tăng dần là S, M, L), mỗi size 20000 chiếc. Biết mỗi chiếc áo len size S cần phải dùng khoảng 500 gam sợi nitron và khối lượng len tăng thêm mỗi 10% theo mỗi size. Biết hiệu suất cả quá trình điều chế là 50%. Khối lượng nguyên liệu vinyl cyanide cần dùng để nhà máy sản xuất được đơn hàng trên là bao nhiêu tấn? (kết quả làm tròn đến hàng phần mười sau dấu phẩy)

Xem chi tiếtXem đáp án và lời giải