Tài liệu hỗ trợ

Tải MIỄN PHÍ file Word kèm ma trận và lời giải chi tiết

Liên hệ Zalo 0915347068 để nhận file nhanh chóng.

Liên hệ Zalo 0915347068

ĐỀ VIP 18 - KĐ - MỤC TIÊU 9+ TN THPT MÔN HÓA HỌC 2026

(Đề thi có ... trang)

Môn thi: Hóa Học

Năm 2026

Thời gian làm bài: ... phút, không kể thời gian phát đề.

Họ, tên thí sinh:

Số báo danh:

Phần I. Thí sinh trả lời từ câu 1 đến câu 18. Mỗi câu hỏi thí sinh chọn một phương án.

Câu 1. Diêm tiêu kali được dùng chế tạo thuốc nổ đen (làm mìn phá đá), làm phân bón (cung cấp nguyên tố N và K cho cây trồng) có công thức hoá học là


A.
 KNO3.
B.  
K2CO3.
C.  
KCl.
D.  
K2SO4.

Xem chi tiếtXem đáp án và lời giải

Câu 2. Việt Nam có nền văn hiến lâu đời với nhiều bảo vật quốc gia độc đáo. Trong các cổ vật sau đây, cổ vật nào có thành phần vật liệu chính là hợp chất cao phân tử hữu cơ?

The image depicts a series of traditional Vietnamese ceramic and lacquer sculptures, showcasing various cultural artifacts.

AI-generated content may be incorrect.


A.
 Hình (1).
B.
 Hình (2).
C.
 Hình (3).
D.
 Hình (4).

Xem chi tiếtXem đáp án và lời giải

Câu 3. Acid X có rất nhiều ứng dụng quan trọng. Phần lớn dùng để điều chế phân đạm NH4NO3, Ca(NO3)2,. Ngoài ra còn dùng để sản xuất thuốc nổ, thuốc nhuộm, dược phẩm,. Công thức của X là


A.
 H3PO4.
B.  
H2SO4.
C.  
HNO3.
D.  
HCl.

Xem chi tiếtXem đáp án và lời giải

Câu 4. Cho phổ hồng ngoại của hợp chất có công thức phân tử là C4H8O2 như sau:

A graph with red lines

AI-generated content may be incorrect.

Phổ hồng ngoại ở trên là phổ của chất nào sau đây?


A.
 (1)
B.  
(2)
C.  
(3)
D.  
(4)

Xem chi tiếtXem đáp án và lời giải

Câu 5. Phát biểu nào sau đây là đúng?

A.  Nguồn nước bị ô nhiễm khi hàm lượng các ion NO3-, PO43- và SO42- vượt mức cho phép.

B.  Khi sinh ra từ quá trình quang hợp là một trong những nguồn gây ô nhiễm không khí.

C.  Hàm lượng CO2 trong không khí vượt mức cho phép là nguyên nhân gây thủng tầng ozon.

D.  Nước không bị ô nhiễm là nước giếng khoan chứa các độc tố như asen, sắt vượt mức cho phép.

Xem chi tiếtXem đáp án và lời giải

Câu 6. Chất rắn X hình sợi, màu trắng, không tan trong nước và các dung môi thông thường. Cho X tác dụng với hỗn hợp HNO3 đặc có H2SO4 đặc làm xúc tác, đun nóng thu được chất Y cháy nhanh không khói, không tàn, được dùng làm thuốc súng. Chất X và Y lần lượt là


A.
 tinh bột và cellulose triacetate.
B.  
cellulose và cellulose triacetate.


C.
 tinh bột và cellulose trinitrate.
D.  
cellulose và cellulose trinitrate.

Xem chi tiếtXem đáp án và lời giải

Câu 7. Hóa học liên quan chặt chẽ đến sản xuất và đời sống, phát biểu nào sau đây là sai?

A.  Trong protein và acid nucleic của cơ thể người đều tồn tại liên kết hydrogen.

B.  Barium carbonate (BaCO3) có thể được sử dụng làm chất cản quang chụp X-quang dạ dày.

C.  Có thể thu được các hydrocarbon thơm thông qua quá trình reforming xúc tác trong lọc hóa dầu.

D.  Chưng khô, khí hóa và hóa lỏng than đá đều là các quá trình biến đổi hóa học.

Xem chi tiếtXem đáp án và lời giải

Câu 8. Phát biểu nào sau đây về Acetaldehyde (có cấu tạo như hình bên) là sai?

A.  Có thể xảy ra phản ứng oxy hóa – khử với dung dịch KMnO4 trong môi trường acid, khi đó liên kết (1) bị đứt.

B.  Tại liên kết (2) có thể xảy ra phản ứng cộng với H2.

C.  HCN có thể tham gia phản ứng cộng nucleophile vào liên kết (2).

D.  Do ảnh hưởng của nhóm aldehyde, liên kết (3) phân cực dễ bị đứt, có thể xảy ra phản ứng cộng.

Xem chi tiếtXem đáp án và lời giải

Câu 9. Aniline tác dụng với (HNO2 +HCl) ở 0 – 5oC tạo muối diazonium để tổng hợp phẩm nhuộm azo và dược phẩm theo phương trình sau đây:

C6H5NH2 + HONO + HCl X + 2H2O

Chất X có công thức cấu tạo là


A.
 [C6H5N2]+Cl-
B.  
[C6H5NH3]+Cl-
C.  
[C6H5NH2]+Cl-
D.  
[C6H5N2H]+Cl-

Xem chi tiếtXem đáp án và lời giải

Câu 10. Để đánh giá mức độ bệnh tiểu đường, người ta dựa vào hàm lượng của chất nào sau đây trong máu ?


A.
 Saccharose.
B.  
Glucose.
C.  
Maltose.
D.  
Fructose.

Xem chi tiếtXem đáp án và lời giải

Câu 11. Thành phần chính của ‘muối biển’ là

A.  NaClO.
B.  
NaCl.
C.  
NaI.
D.  
KCl.

Xem chi tiếtXem đáp án và lời giải

Câu 12. Giản đồ năng lượng của 2 amine khi proton hoá như hình dưới.

A diagram of a reaction  AI-generated content may be incorrect.

Dựa vào giản đồ năng lượng, Cho các phát biểu sau

(a). Arylamine có mức năng lượng thấp hơn alkylamine.

(b). Khi proton hoá, arylamine cần cung cấp năng lượng lớn hơn alkylamine.

(c). Tính base của arylamine mạnh hơn alkylamine.

(d). Gốc phenyl (C6H5-) hút electron làm giảm mật độ e trên N, còn gốc alkyl (R-) đẩy electron làm tăng mật độ e trên N.

(e). Trên nguyên tử N của amine còn 1 cặp e chưa liên kết là nguyên nhân gây ra tính base của amine.

Số phát biểu đúng là


A.
 3.
B.
 4.
C.
 2.
D.
 5.

Xem chi tiếtXem đáp án và lời giải

Câu 13.  Một acid béo được gọi là omega-n (trong đó n là vị trí của liên kết đôi C=C đầu tiên tính từ nhom1 -CH3). Cho công thức của một acid béo sau :

Giá trị của n là


A.
 6.
B.
 9.
C.
 3.
D.
 5.

Xem chi tiếtXem đáp án và lời giải

Câu 14. Quá trình lưu hoá cao su thuộc loại phản ứng nào sau đây?


A.
 cắt mạch polymer.
B.  
tăng mạch polymer.


C.
 giữ nguyên mạch polymer.
D.  
phân huỷ polymer.

Xem chi tiếtXem đáp án và lời giải

Câu 15. Cho bảng số liệu về ethylene và acetylene như sau:

Chất

Liên kết

Năng lượng liên kết (kcal/mol)

Độ dài liên kết (pm)

Nhiệt đốt cháy (kcal/mol)

Ethane

C-C

90

154

-373

C-H

100

109

Ethylene

C=C

174

134

-337

C-H

111

109

Acetylene

C-H

133

106

-317

231

120

  

Phát biểu nào sau đây về ethane, ethylene, acetylene là đúng?

A.  Khi đốt cháy 3 chất (mỗi chất 1 mol) thì nhiệt lượng tỏa ra là 1027 cal.

B.  Độ dài liên kết C-C càng dài thì năng lượng cần thiết để phá vỡ liên kết C-C càng cao.

C.  Khi đốt cháy 3 chất trên, tính theo nhiệt lượng trung bình tỏa ra trên một mol sản phẩm thì nhiệt lượng lớn nhất là acetylene.

D.  Năng lượng cần thiết để phá vỡ một liên kết ba  gấp ba lần năng lượng cần thiết để phá vỡ một liên kết đơn C-C.

Xem chi tiếtXem đáp án và lời giải

Câu 16. Thiết lập các thí nghiệm như hình sau:

The image depicts a diagram or flowchart comparing different substances, specifically focusing on Thanh Cu, Thanh Pt, Thanh Ag, and their reactions with HCI and CuSO4, with four distinct stages or conditions labeled as Hᅢᆲnh (1), Hᅢᆲnh (2), Hᅢᆲnh (3), and Hᅢᆲnh (4).

AI-generated content may be incorrect.

Thí nghiệm nào sẽ tạo ra bọt khí không màu, không mùi xung quanh điện cực đồng (Cu)?


A.
 Hình (1).
B.
 Hình (2).
C.
 Hình (3).
D.
 Hình (4).

Xem chi tiếtXem đáp án và lời giải

Câu 17. Cho các polymer sau:

Polymer được điều chế bằng phản ứng trùng hợp methyl acrylate là


A.
 (I).
B.  
(II).
C.  
(III).
D.  
(IV).

Xem chi tiếtXem đáp án và lời giải

Câu 18. Pin hệ nước lưu huỳnh (Aqueous Sulfur Batteries) đang là một trong những hướng nghiên cứu đột phá nhất trong lĩnh vực lưu trữ năng lượng thế hệ mới. So với pin Lithium-ion truyền thống sử dụng dung môi hữu cơ dễ cháy, pin hệ nước mang lại sự an toàn tuyệt đối và chi phí cực kỳ thấp. Sơ đồ một loại pin hệ nước lưu huỳnh được thể hiện như hình bên :The diagram illustrates a cell diagram showing the electron flow in a galvanic cell, with the anode (Zn) and cathode (Cu) reactions, and the respective ion concentrations.

AI-generated content may be incorrect.

Pin này có dung lượng riêng khá cao, khi phóng điện nồng độ Ca2+ ở khu vực gần điện cực M tăng lên. Phát biểu nào sau đây là đúng?

A.  Điện cực N là cực âm của pin.

B.  Pin này cần sử dụng màng trao đổi cation.

C.  Khi sạc, phản ứng điện cực tại cực N là: Cu2S 2Cu2+ + S + 4e.

D.  Khi x = 3, công thức electron của CaS3 (cho biết hợp chất thỏa quy tắc octet) là

 

Xem chi tiếtXem đáp án và lời giải

Phần II. Thí sinh trả lời từ câu 1 đến câu 4. Trong mỗi ý a),
B. ,
C. ,
D.
 ở mỗi câu, thí sinh chọn đúng hoặc sai.

Câu 1.  Một nhóm học sinh tiến hành một thí nghiệm để kiểm tra các tính chất của nước máy (có chứa các ion Na+, Mg2+, Fe2+, Cu2+, Cl-, SO42-). Nhóm học sinh lấy 4 cốc thủy tinh, mỗi cốc chứa 25 mL nước máy và tiến hành một vài thí nghiệm như sau:

Thí nghiệm 1: Thêm thuốc nước bắp cải tím (có màu tím).

Thí nghiệm 2: Để 1 thời gian ngoài không khí

Thí nghiệm 3: Cho một dòng điện chạy qua.

Nhóm học sinh ghi lại một số kết quả của mình vào bảng sau:

Thí nghiệm

Hiện tượng

1

Dung dịch có hiện tượng chuyển màu

2

Chuyển sang màu vàng và nổi váng màu nâu

3

Bóng dèn phát sáng

Cho biết nước bắp cải tím là một chất chỉ thị tự nhiên, có màu đỏ hoặc hồng trong môi trường acid và có màu xanh lam trong môi trường base.

A. Trong thí nghiệm (1) thì dung dịch sẽ chuyển sang màu xanh lam.

B. Trong các sơ đồ cho dưới đây thì sơ đồ thực hiện thí nghiệm (3) được nhóm học sinh lựa chọn là sơ đồ (III).

The image shows a series of diagrams depicting various pin configurations, likely illustrating electrical connections or mechanical linkages.

AI-generated content may be incorrect.

C. Cho biết trong nước thì các ion Cu2+, Fe2+ sẽ tồn tại dạng phức aqua có công thức tổng quát là [M(OH2)4]2+ (với M là kí hiệu ion kim loại).

D. Trong thí nghiệm (2), váng màu nâu là Fe(OH)2.

Xem chi tiếtXem đáp án và lời giải

Câu 2.  Adipic acid là hóa chất quan trọng được dùng trong sản xuất vải sợi (nylon-6,6) và nhiều sản phẩm thông dụng khác như thảm, dây thừng hay lông bàn chải đánh răng. Các nhà nghiên cứu thuộc Viện Công nghệ sinh học và Công nghệ Nano (IBN) của Singapore vừa phát hiện một sơ đồ hóa học mới có thể chuyển hóa đường glucose thành adipic acid như sau:

Trong công nghiệp, adipic acid dùng để sản xuất poly(hexamethylene adipamide) hay còn gọi là nylon-6,6 qua phản ứng trùng ngưng với hexamethylenediamine (H2N – (CH2)6 – NH2) (hiệu suất đạt 90%).

A. Cứ 1,0 mol mucic acid làm mất màu tối đa 2,0 mol Br2 tạo ra chất hữu cơ có phần trăm khối lượng bromine là 68,67%. (kết quả được làm tròn đến hàng phần trăm).

B. Phân tử adipic acid có 4 nhóm methylene.

C. Hiện nay, nylon-6,6 được dùng để sản xuất chỉ nha khoa chứa 90% poly(hexamethylene adipamide). Lượng adipic acid được tạo ra từ 216 kg glucose theo sơ đồ trên có thể sản xuất được 206 kg chỉ nha khoa (kết quả lấy đến phần nguyên).

D. Trong y học dung dịch glucose 5% được dùng làm dịch truyền tĩnh mạch.

Xem chi tiếtXem đáp án và lời giải

Câu 3. Nhóm các bạn học sinh tiến hành làm thí nghiệm theo các bước sau:

Bước 1: Cho vào cốc thủy tinh chịu nhiệt khoảng 5 gam dầu dừa và 10 mL dung dịch NaOH 40%.

Bước 2: Đun sôi nhẹ hỗn hợp, liên tục khuấy đều bằng đũa thủy tinh khoảng 10 phút. Thỉnh thoảng cho thêm vài giọt nước cất để tránh hỗn hợp bị cạn.        

Bước 3: Kết thúc phản ứng rót vào cốc thủy tinh trên 50 mL dung dịch NaCl bão hòa, khuấy nhẹ. Để nguội hỗn hợp, tách lấy khối xà phòng màu trắng nổi lên ở trên đem trộn với chất tạo hương rồi ép thành bánh.

A. Cấu tạo của phân tử xà phòng và chất giặt rửa phổ biến thường gồm 2 phần: Phần ưa nước và phần kị nước.

B. Sau bước 3 thấy có lớp chất rắn màu trắng nổi lên chứa muối sodium của acid béo.

C. Nếu thay dầu dừa bằng dầu mỡ bôi trơn máy (thành phần chính là hydrocarbon) thì hiện tượng cũng xảy ra tương tự.

D. Sau khi thành công với mẫu ban đầu, nhóm các bạn học sinh cải tiến để sản xuất qui mô lớn hơn. Các bạn sử dụng một loại chất béo chứa 88,4% triolein về khối lượng còn lại là tạp chất trơ. Thực hiện phản ứng xà phòng hóa trên bằng dung dịch NaOH thu được một loại xà phòng chứa 82,08% muối sodium oleate về khối lượng. Giả thiết hiệu suất của cả quá trình là 80%. Qui cách đóng gói mỗi bánh xà phòng có khối lượng tịnh là 100 gam. Để sản xuất được một đơn hàng 1000 bánh xà phòng thì khối lượng chất béo tối thiểu cần sử dụng là 99,45 kg (kết quả làm tròn đến hàng phần trăm).

Xem chi tiếtXem đáp án và lời giải

Câu 4. Chlorinated Trisodium Phosphate [(Na3PO4.12H2O)4.NaClO] tác dụng diệt khuẩn, khử trùng và tẩy trắng tốt, có thể loại bỏ nhiều vết bẩn như mực, máu, dầu và vết trà. Nó được sử dụng rộng rãi trong bệnh viện, nhà hàng và ngành chế biến thực phẩm. Điểm nóng chảy của nó là 67 0C, ổn định ở nhiệt độ phòng nhưng dễ bị phân hủy khi đun nóng. Trong dung dịch nước, nó có thể phản ứng trực tiếp với các ion Ca2+, Mg2+ và kim loại nặng để tạo thành muối phosphate không tan. Một nhóm học sinh đã thiết kế quy trình sản xuất như sơ đồ dưới đây :

Cho các phát biểu sau :

A. Trong giai đoạn "chuỗi các thao tác" bao gồm: bay hơi, kết tinh làm lạnh, lọc, rửa và sấy khô ở nhiệt độ cao.

B. Trong "bể phản ứng 1", lượng dung dịch H3PO4 3 M tối thiểu cần thêm vào là 400 mL

C. Về lý thuyết, lượng sản phẩm thu được không quá 0,3 mol.

D. Sản phẩm có tác dụng tẩy trắng và khử trùng là do có chứa NaClO.

 

Xem chi tiếtXem đáp án và lời giải

Phần III. Thí sinh trả lời từ câu 1 đến câu 6.

Câu 1. Phản ứng tạo iodoform là một phản ứng hóa học đặc trưng để nhận biết sự có mặt của methyl ketone (nhóm CH3CO−) hoặc ethanol (CH3CH2OH) và một số ancol bậc hai chứa nhóm methyl ở vị trí alpha (dạng CH3CH(OH)R). Khi các hợp chất này phản ứng với dung dịch iodine (I₂) trong môi trường kiềm, chúng sẽ tạo ra iodoform (CHI3 kết tủa màu vàng nhạt) Cho các hợp chất hữu cơ có công thức khung như sau:

Có bao nhiêu hợp chất tác dụng dung dịch I2/NaOH tạo kết tủa màu vàng nhạt là idoform (CHI3)?

Xem chi tiếtXem đáp án và lời giải

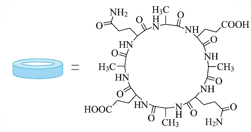
Câu 2. Lạm dụng kháng sinh trong thời gian dài dễ dẫn đến tình trạng vi khuẩn kháng thuốc. Vi khuẩn kháng thuốc có thể hình thành thông qua đột biến gen hoặc tiếp nhận gen kháng thuốc. Do đó, việc phát triển các loại kháng sinh mới là vấn đề cấp bách. Các nghiên cứu đã chỉ ra phân tử A có tác dụng diệt khuẩn. Cấu trúc của nó được thể hiện như sau:

Xác định số liên kết peptide trong phân tử trên ?

Xem chi tiếtXem đáp án và lời giải

Câu 3. Chlorinated polyvinyl chloride (CPVC) là một loại nhựa nhiệt dẻo được sản xuất bằng cách chlorine hóa nhựa poly(vinyl chloride). CPVC dẻo hơn đáng kể so với PVC, và cũng có thể chịu được nhiệt độ cao hơn. Sử dụng bao gồm đường ống phân phối nước nóng và lạnh và xử lý chất lỏng công nghiệpNếu thực hiện chlorine hoá PVC thì thu được CPVC theo phương trình như sau:

Cũng dựa vào phương trình điều chế CPVC ở trên nếu trung bình 5 mắt xích PVC thì có một nguyên tử H bị chlorine hoá. Hãy tính % khối lượng chlorine trong CPVC đã cho (làm tròn đáp án đến hàng phần mười).

Xem chi tiếtXem đáp án và lời giải

Câu 4. Theo thuyết Liên kết hoá trị, số liên kết cộng hoá trị trong phức chất [Fe(OH)3(OH2)3] là bao nhiêu?

Xem chi tiếtXem đáp án và lời giải

Câu 5. Cho phản ứng hóa học: CO2 (g) CO (g) +  O2 và các dữ kiện:

Chất

CO2 (g)

COg

O2 (g)

 (J/mol.K)

213,69

-197,5

205,1

 (kJ/mol)

-393,5

-110,1

0

Tính biến thiên năng lượng tự do Gibbs chuẩn của phản ứng ở 25 0C. (làm tròn đến hàng đơn vị)

Xem chi tiếtXem đáp án và lời giải

Câu 6.  Cho vị trí của các nguyên tố X, Y, T, M trong bảng tuần hoàn các nguyên tố hóa học được mô tả như hình vẽ:

  

Y

X

 

T

M

 

Biết Y có 4 electron ở các phân lớp s và có 7 electron ở lớp ngoài cùng.

Cho các phát biểu sau:

(1) Vị trí của Y trong bảng tuần hoàn: ô số 7, chu kì 2, nhóm VA.

(2) Nguyên tố X là 1 khí hiếm.

(3) Hydroxide tương ứng với oxide cao nhất của M là 1 acid mạnh.

(4) Oxide cao nhất của T có công thức là TO4.

(5) Bán kính nguyên tử X < Y< M < T.

Có bao nhiêu phát biểu đúng trong các phát biểu trên?

Xem chi tiếtXem đáp án và lời giải