Tài liệu hỗ trợ

Tải MIỄN PHÍ file Word kèm ma trận và lời giải chi tiết

Liên hệ Zalo 0915347068 để nhận file nhanh chóng.

Liên hệ Zalo 0915347068

16.THPT CỬA LÒ - NGHỆ AN - THI THỬ HÓA 2026 - [Thi thử Tốt Nghiệp THPT 2026 - Môn Hóa Học ]

(Đề thi có ... trang)

Môn thi: Hóa Học

Năm 2026

Thời gian làm bài: ... phút, không kể thời gian phát đề.

Họ, tên thí sinh:

Số báo danh:

PHẦN I: Câu trắc nghiệm nhiều phương án lựa chọn. Thí sinh trả lời từ câu 1 đến câu 18. Mỗi câu hỏi thí chỉ chọn một phương án.

Câu 1. Cho dãy các chất sau: saccharose, glucose, fructose, cellulose, tinh bột. Số chất tham gia phản ứng thủy phân là

        A. 5.         B. 2.         C. 4.         D. 3.

Xem chi tiếtXem đáp án và lời giải

Câu 2. Mùi tanh của cá là do hỗn hợp một số amine (nhiều nhất là trimethylamine) và một số chất khác gây nên. Công thức của trimethylamine là

        A. (CH3)3N.         B. (CH3)2NH.         C. C2H5NH2.         D. CH3NH3.

Xem chi tiếtXem đáp án và lời giải

Câu 3. 2-aminopropanoic acid có kí hiệu:

        A. Gly.         B. Ala.         C. Val.         D. Lys.

Xem chi tiếtXem đáp án và lời giải

Câu 4. Nguồn nguyên liệu dùng để sản xuất xà phòng có thể là

        A. chất béo và acid béo.                 

        B. glycerol và chất béo.

        C. dầu mỡ động thực vật và sản phẩm từ dầu mỏ.         

        D. trái bồ hòn, bồ kết.

Xem chi tiếtXem đáp án và lời giải

Câu 5. Một acid béo có công thức cấu tạo là

Acid béo này thuộc loại omega nào sau đây?

        A. Omega-3.         B. Omega-9.         C. Omega-6.         D. Omega-5.

Xem chi tiếtXem đáp án và lời giải

Câu 6. Nhỏ vài giọt dung dịch iodine vào dung dịch nào sau đây thì thấy xuất hiện màu xanh tím?

        A. Hồ tinh bột.         B. Saccharose.         C. Lòng trắng trứng.         D. Glucose.

Xem chi tiếtXem đáp án và lời giải

Câu 7. Glucose phản ứng với chất nào sau đây thể hiện tính chất của nhóm OH hemiacetal?

        A. H2 (xt Ni, to).         B. CH3OH (xt HCl).         C. Cu(OH)2/OH-.         D. [Ag(NH3)2]OH.

Xem chi tiếtXem đáp án và lời giải

Câu 8. Monomer được dùng để điều chế polypropylene (PP) là

        A. CH2=CH-CH=CH2.         B. CH2=CH2.         C. CH2=CH-CH3.         D. CH=CH.

Xem chi tiếtXem đáp án và lời giải

Câu 9. Loại dầu mỡ nào không chứa thành phần chính là lipid?

        A. Dầu cá.         B. Dầu thực vật.         C. Mỡ động vật.         D. Dầu diesel.

Xem chi tiếtXem đáp án và lời giải

Câu 10. Nguồn điện nào sau đây không dựa vào năng lượng từ các phản ứng hoá học?

        A. Acquy.         B. Pin Galvani.         C. Pin nhiên liệu.         D. Pin mặt trời.

Xem chi tiếtXem đáp án và lời giải

Câu 11. Cho các cặp oxi hoá - khử của các kim loại và thế điện cực chuẩn tương ứng:

Cặp oxi hoá-khử

Fe2+/Fe

Sn2+/Sn

Zn2+/Zn

Ni2+/Ni

Thế điện cực chuẩn (V)

-0,440

-0,138

-0,763

-0,257

Trong số các kim loại trên, kim loại có tính khử yếu nhất là

        A. Fe.         B. Zn.         C. Sn.         D. Ni.

Xem chi tiếtXem đáp án và lời giải

Câu 12. Saccharose là chất rắn có vị ngọt, dễ tan trong nước. Saccharose có công thức phân tử là

        A. C6H12O6.         B. C3H6O3.         C. (C6H10O5)n.         D. C12H22O11.

Xem chi tiếtXem đáp án và lời giải

Câu 13. Chất X có công thức cấu tạo là CH3CH2COOCH3. Tên gọi của X là

        A. propyl acetate.         B. ethyl acetate.         C. methyl propionate.         D. methyl butyrate.

Xem chi tiếtXem đáp án và lời giải

Câu 14. Hợp chất nào sau đây là ester?

        A. CH3CH2CHO.         B. CH3CH2COOH.         C. CH3CH2OH.         D. CH3COOCH3.

Xem chi tiếtXem đáp án và lời giải

Câu 15. Hợp chất nào sau đây là amino acid?

A.  CH3NHCH2CH3.         B. H2NCH2COOH.         C. H2NCH2COOCH3.         D. HOCH2COOH.

Xem chi tiếtXem đáp án và lời giải

Câu 16. Methadone là một loại thuốc dùng trong cai nghiện ma túy, nó thực chất cũng là một loại chất gây nghiện nhưng “nhẹ” hơn các loại ma túy thông thường và dễ kiểm soát hơn. Công thức cấu tạo thu gọn như hình dưới.

Trong phân tử methadone có chứa nhóm chức amine bậc bao nhiêu?

        A. 4.         B. 2.         C. 1.         D. 3.

Xem chi tiếtXem đáp án và lời giải

Câu 17. Tên gọi của polymer có công thức cho dưới đây là

        A. polyethylene.                 B. poly(methyl metacrylate).

        C. poly(vinyl chloride).                 D. polystyrene.

Xem chi tiếtXem đáp án và lời giải

Câu 18. Khi bị ốm, mất sức hoặc sau các ca phẫu thuật, nhiều người bệnh thường được truyền dịch để cơ thể sớm hồi phục. Chất trong dịch truyền có tác dụng trên là

        A. amine.         B. saccharose.        C. sodium chloride.         D. glucose.

 

Xem chi tiếtXem đáp án và lời giải

PHẦN II. Câu trắc nghiệm đúng sai. Thí sinh trả lời từ câu 1 đến câu 4. Trong mỗi ý
A. ,
B. ,
C. ,d) ở mỗi câu, thí sinh chọn đúng hoặc sai.

Câu 1. Một pin điện hoá Zn − H2 được thiết lập ở điều kiện thường như hình vẽ sau (vôn kế có điện trở rất lớn).

        a) Phản ứng hoá học xảy ra trong pin là: Zn(s) + 2H+ (aq) → Zn2+(aq) + H2 (g).

        b) Quá trình khử xảy ra ở anode là: 2H+ 2e → H2.

        c) Chất điện li trong cầu muối là KCl.

        d) Thế điện cực chuẩn của cặp oxi hoá - khử Zn2+ / Zn là 0,762 V.

Xem chi tiếtXem đáp án và lời giải

Câu
B.
 Trong dung dịch, dạng tồn tại của mỗi amino acid tùy thuộc vào giá trị pH của dung dịch đó. Giá trị pH mà khi đó amino acid tồn tại chủ yếu ở dạng ion lưỡng cực (nồng độ ion lưỡng cực là cực đại) được gọi là điểm đẳng điện (pI). Khi pH > pI thì amino acid tồn tại chủ yếu ở dạng anion, pH < pI thì amino acid tồn tại chủ yếu ở dạng cation. Khi đặt dung dịch amino acid trong một điện trường thì dạng lưỡng cực không di chuyển về phía điện cực nào cả (nằm giữa hai điện cực), dạng anion sẽ di chuyển về phía cực dương còn dạng cation sẽ di chuyển về phía cực âm. Cho hai amino acid sau: H2N(CH2)4CH(NH2)COOH (Lysine); HOOC(CH2)2CH(NH2)COOH (Glutamic acid). Một nhóm học sinh nghiên cứu về tính điện di của glutamic acid (pI = 3,2) và lysine (pI = 9,7) rồi đưa ra kết luận:

        a) Có thể tách được glutamic acid và lysine ra khỏi hỗn hợp trong dung dịch ở pH = 6 bằng phương pháp điện di.

        b) Khi pH = 1 thì glutamic acid và lysine đều di chuyển về cực âm (cathode).

        c) Khi pH = 13 thì glutamic acid tồn tại chủ yếu dạng anion HOOC-CH2-CH2-CH(NH2)-COO- và di chuyển về phía cực dương.

        d) Khi pH = 6 thì glutamic acid di chuyển về phía cực âm còn lysine di chuyển về phía cực dương.

Xem chi tiếtXem đáp án và lời giải

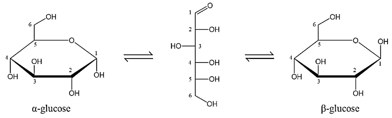
Câu 3. Các nghiên cứu về cấu tạo cho biết glucose có một dạng mạch hở và hai dạng mạch vòng (α-glucose và β-glucose) chuyển hóa qua lại lẫn nhau như hình sau:

Ảnh có chứa biểu đồ, hàng, bản phác thảo, Bản vẽ kỹ thuật

Nội dung do AI tạo ra có thể không chính xác.

        a) Glucose có phản ứng hòa tan Cu(OH)2 ở điều kiện thường tạo dung dịch phức có màu xanh lam.

        b) Nhóm –OH ở vị trí carbon số 6 trong glucose dạng mạch vòng gọi là –OH hemiacetal.

        c) Do tồn tại ở dạng mạch vòng nên glucose có phản ứng làm mất màu dung dịch nước bromine.

        d) Ở dạng mạch hở, phân tử glucose có 5 nhóm hydroxy và một nhóm chức ketone.

Xem chi tiếtXem đáp án và lời giải

Câu 4. Khi nghiên cứu đặc điểm của phản ứng ester hoá để tổng hợp ethyl acetate, một nhóm học sinh dự đoán “nhiệt độ càng cao, hiệu suất phản ứng ester hoá càng cao”. Từ đó nhóm học sinh tiến hành thí nghiệm tổng hợp ethyl acetate với nồng độ ethyl alcohol và acetic acid không đổi nhưng thay đổi nhiệt độ phản ứng để kiểm tra dự đoán trên như sau:

Bước 1: Cho 32,5 mL ethyl alcohol, 30,0 mL acetic acid và 10,5 mL H2SO4 đặc vào bình cầu, lắc đều.

Bước 2: Lắp ống sinh hàn hồi lưu vào bình phản ứng và đun trên bếp cách thuỷ có điều chỉnh nhiệt độ ở nhiệt độ 60°C trong 60 phút. Tắt bếp và để nguội bình phản ứng.

Bước 3: Chưng cất tách hỗn hợp sản phẩm, tách ethyl acetate bằng phễu chiết, rửa sạch, làm khô bằng CaCl2 khan.

Bước 4: Tiến hành chưng cất lại ethyl acetate bằng hệ sinh hàn ở khoảng nhiệt độ 77°C, thu ethyl acetate và đong thể tích ethyl acetate thu được bằng ống đong.

Lặp lại thí nghiệm trên, chỉ thay đổi nhiệt độ ở bước 2 lần lượt là 65; 70; 75; 80; 85. Nhóm học sinh ghi lại thể tích ethyl acetate thu được với thời gian thí nghiệm tương ứng và kết quả ở bảng sau:

Nhiệt độ (°C)

60

65

70

75

80

85

Thể tích ethyl acetate (mL)

25,8

30,5

35,1

39,8

36,6

32,9

        a) Kết quả thí nghiệm ủng hộ dự đoán của nhóm học sinh.

        b) Theo kết quả thí nghiệm trên, thể tích ethyl acetate thu được ở 70°C là nhiều nhất.

        c) Việc lắp ống sinh hàn ở bước 2 nhằm mục đích hạn chế sự thất thoát chất lỏng trong bình cầu.

        d) Số liệu cho thấy phản ứng có nhiệt độ tối ưu ở 75°C, sau đó hiệu suất tổng hợp ethyl acetate giảm.

Xem chi tiếtXem đáp án và lời giải

PHẦN III: Câu trắc nghiệm yêu cầu trả lời ngắn. Thí sinh trả lời từ câu 1 đến câu 6.

Câu 1. Trong 7 loại tơ sau: sợi bông, tơ cellulose acetate, tơ capron (nylon-6), tơ visco, tơ tằm, tơ olon, tơ nylon-6,6. Số tơ thuộc loại tơ tổng hợp là bao nhiêu?

Xem chi tiếtXem đáp án và lời giải

Câu 2. Ứng với công thức phân tử C3H9N có bao nhiêu amine đồng phân cấu tạo khi tác dụng với nitrous acid ở nhiệt độ thường tạo thành alcohol và giải phóng nitrogen?

Xem chi tiếtXem đáp án và lời giải

Câu 3. Độ tan trong nước của glucose ở 25°C là 91 gam trong 100 gam nước và ở 50°C là 244 gam trong 100 gam nước. Khối lượng glucose kết tinh thu được khi làm lạnh 172 gam dung dịch glucose bão hòa ở 50°C xuống 25°C là bao nhiêu? Giả thiết khi làm lạnh, sự bay hơi nước xảy ra không đáng kể. (Làm tròn kết quả đến phần chục).

Xem chi tiếtXem đáp án và lời giải

Câu 4. Một loại chất giặt rửa tổng hợp có thành phần chính là muối sau:

Ảnh có chứa hàng, Phông chữ, màu trắng, biểu đồ

Nội dung do AI tạo ra có thể không chính xác.

Phần kị nước trong muối trên có bao nhiêu nguyên tử carbon?

Xem chi tiếtXem đáp án và lời giải

Câu 5. Cho các cặp oxi hoá – khử và giá trị thế điện cực chuẩn tương ứng:

Cho các phát biểu sau: Ở điều kiện chuẩn:

(1) Ion Cu2+ có tính oxi hoá mạnh hơn ion Fe3+.

(2) Dãy sắp xếp theo chiều tăng dần tính khử: Ag, Cu, Fe2+.

(3) Ion Fe2+ khử được ion Ag+ thành Ag kim loại.

(4) Ion Fe3+ và ion Ag+ đều oxi hoá được Cu thành ion Cu2+.

Viết số thứ tự của các phát biểu đúng theo thứ tự tăng dần từ trái sang phải (Câu: 12 hoặc 123 hoặc 23...).

Xem chi tiếtXem đáp án và lời giải

Câu 6. Cho các chất: methyl fomate, propan-1-ol, methyl acetate, propanoic acid và các giá trị nhiệt độ sôi (không theo thứ tự) là 141°C; 97,2°C, 31,8°C; 57,1°C. Nhiệt độ sôi của methyl fomate có giá trị là bao nhiêu (°C)?

Xem chi tiếtXem đáp án và lời giải