Tài liệu hỗ trợ

Tải MIỄN PHÍ file Word kèm ma trận và lời giải chi tiết

Liên hệ Zalo 0915347068 để nhận file nhanh chóng.

Liên hệ Zalo 0915347068

37 - THPT CẨM XUYÊN (LẦN 1) - HÀ TĨNH 2026

(Đề thi có ... trang)

Môn thi: Hóa Học

Năm 2026

Thời gian làm bài: ... phút, không kể thời gian phát đề.

Họ, tên thí sinh:

Số báo danh:

Phần I: Câu trắc nghiệm nhiều phương án lựa chọn. Thí sinh trả lời từ câu 1 đến câu 18. Mỗi câu hỏi thí sinh chỉ chọn một phương án.

Câu 1: Nhận xét nào sau đây đúng

A.  Trùng hợp vinyl alcohol thu được poly(vinyl alcohol).

B.  Cellulosetriacetate là một loại polymer bán tổng hợp.

C.  Tơ tằm thuộc loại polyamide.

D.  Poly(vinyl chloride) có khả năng tham gia phản ứng cộng.

Xem chi tiếtXem đáp án và lời giải

Câu 2: Hợp chất nào sau đây bị thủy phân trong môi trường acid?

        A. Glucose.         B. Fructose.         C. Glycerol.         D. Amylopectin.

Xem chi tiếtXem đáp án và lời giải

Câu 3: Monomer tạo nên polychloroprene có công thức cấu tạo thu gọn là

        A. CH2=C(Cl)-CH2-CH3.        B. CH2=CHCl.         

        C. CH3-CHCl-CH=CH2.         D. CH2=C(Cl)-CH=CH2.

Xem chi tiếtXem đáp án và lời giải

Câu 4: Ở điều kiện thường chất nào sau đây tồn tại ở trạng thái rắn?

        A. Triolein.         B. Sodium stearate.         C. Linoleic acid.         D. Vinyl acetate.

Xem chi tiếtXem đáp án và lời giải

Câu 5: Hợp chất nào sau đây tham gia phản ứng với thuốc thử Tollens?

        A. Amylopectin.         B. Maltose.         C. Glycerol.         D. Saccharose.

Xem chi tiếtXem đáp án và lời giải

Câu 6: Dãy gồm các chất đều phản ứng với Cu(OH)2 tạo phức màu xanh là

        A. Glycerol, acetic acid, fructose.         B. Maltose, saccharose, glucose.

        C. Amylopectin, glucose, fructose.         D. Saccharose, cellulose, maltose.

Xem chi tiếtXem đáp án và lời giải

Câu 7: Số liên kết pi trong phân tử triolein là

        A. 2.         B. 1.         C. 6.         D. 3.

Xem chi tiếtXem đáp án và lời giải

Câu 8: Pentapeptide Gly-Tyr-Gly-Val-Ala khi bị thủy phân không hoàn toàn có thể thu được tối đa bao nhiêu dipeptide?

        A. 4.         B. 3.         C. 2.         D. 5.

Xem chi tiếtXem đáp án và lời giải

Câu 9: Thủy phân ester nào sau đây thu được alcohol đơn chức?

        A. Tripalmitin.         B. Benzyl acetate.         C. Vinyl fomate.         D. Phenyl acetate.

Xem chi tiếtXem đáp án và lời giải

Câu 10: Nhận xét nào sau đây đúng

A.  Đồng trùng ngưng buta-1,3-diene với styrene thu được cao su buna-S.

B.  Quá trình lưu hóa cao su không làm thay đổi số nguyên tử carbon và hydrogen trong mạch polymer.

C.  Trùng hợp isoprene thu được cao su tự nhiên.

D.  Ở cao su lưu hóa, các mạch polymer được nối với nhau chủ yếu bởi các cầu nối disulfide.

Xem chi tiếtXem đáp án và lời giải

Câu 11: Cho các chất glucose, fructose, saccharose, maltose, cellulose. Nhận xét nào sau đây đúng?

A.  Trong các chất trên có 2 chất bị oxi hóa bởi dung dịch nước bromine.

B.  Trong các chất trên, có 1 chất khi thủy phân chỉ thu được β-glucose.

C.  Các chất trên đều có cùng công thức đơn giản nhất.

D.  Trong các chất trên có 4 bị oxi hóa bởi thuốc thử Tollens.

Xem chi tiếtXem đáp án và lời giải

Câu 12: Hợp chất nào sau đây thuộc loại ester no đơn chức mạch hở?

        A. Methyl acetate.         B. Methyl acrylate.         C. Ethyl benzoate.         D. Vinyl acetate.

Xem chi tiếtXem đáp án và lời giải

Câu 13: Polymer nào sau đây được dùng làm chất dẻo?

        A. Polybuta-1,3-diene.                 B. Poly(methyl methacrylate).

        C. Poly(hexamethylene adipamide).         D. Polyacrylonitrile.

Xem chi tiếtXem đáp án và lời giải

Câu 14: Cho các dung dịch sau: HNO2, CuSO4, NaOH, FeCl3, CH3COOH. Số chất phản ứng được với dung dịch methylamine là

        A. 5.         B. 3.         C. 4.        D. 2.

Xem chi tiếtXem đáp án và lời giải

Câu 15: Amino acid X có công thức cấu tạo thu gọn như sau: CH3-CH(NH2)-COOH. Tên thay thế của amino acid trên là

        A. 2-aminopropanoic acid.         B. 2-aminopropionic acid.

        C. α-aminopropionic acid.         D. Alanine.

Xem chi tiếtXem đáp án và lời giải

Câu 16: Cho các phản ứng sau:

(1) CH3NH2 + HCl → CH3NH3Cl (1)

(2) C6H12O6  2C2H5OH + 2CO(2)

(3) C6H5NH2 + HNO2 + HCl C6H5N2Cl + 2H2O (3)

Cho các nhận xét sau:

A. Trong phản ứng (1), CH3NH2 đóng vai trò là base theo Bronsted Lowry.

B. Ở phản ứng (3) aniline bị khử thành muối diazonium.

C. Ở phản ứng (2) có thể thay xúc tác enzyme bằng xúc tác acid.

D. Cả 3 phản ứng trên đều là phản ứng oxi hóa khử.

Tổng số nhận xét đúng là

        A. 2.         B. 4.         C. 3.         D. 1.

Xem chi tiếtXem đáp án và lời giải

Câu 17: Hợp chất nào sau đây thuộc loại amine bậc I?

        A. N-methylmethanamine.         B. Phenylmethylamine.

        C. Trimethylamine.                 D. 3,3-dimethylbutan -2-amine.

Xem chi tiếtXem đáp án và lời giải

Câu 18: Nhận xét nào sau đây không đúng?

A.  Thủy phân dipeptide Gly-Gly trong môi trường acid thu được glycine.

B.  Urea và tripeptide Gly-Ala-Ala đều có phản ứng màu với Cu(OH)2.

C.  Có thể phân biệt dipeptide mạch hở Glu-Gly và Gly-Gly bằng quỳ tím ẩm.

D.  Trùng ngưng ε-aminoacid thu được polyamide.

 

Xem chi tiếtXem đáp án và lời giải

PHẦN II. Câu trắc nghiệm đúng sai. Thí sinh trả lời từ câu 19 đến câu 22. Trong mỗi ý
A. ,
B. ,
C. ,
D. ở mỗi câu. Thí sinh chọn đúng hoặc sai.

Câu 1: Thí nghiệm thủy phân tinh bột trong phòng thí nghiệm được tiến hành theo các bước sau:

• Bước 1: Cho khoảng 5 mL dung dịch hồ tinh bột 1%. Sau đó thêm khoảng 1 mL dung dịch HCl

1M vào lắc đều.

• Bước 2: Đặt ống nghiệm trong cốc nước nóng, đun cách thủy trong vòng 10 phút. Sau đó để nguội.

• Bước 3: Thêm từ từ NaHCO3 vào đến khi ngừng sủi bọt khí.

• Bước 4: Cho 2 mL dung dịch thu được vào ống nghiệm chứa Cu(OH)2 (được điều chế bằng cách cho 0,5 mL dung dịch CuSO4 5% vào 2 mL dung dịch NaOH 10% lắc nhẹ). Sau đó đặt ống nghiệm trong cốc thủy tinh chứa nước nóng khoảng 5 phút.

        a) Sau bước 2 nếu cho dung dịch iodine vào ống nghiệm thấy xuất hiện màu xanh tím chứng tỏ tinh bột chưa bị thủy phân.

        b) Sau bước 3 trong ống nghiệm xuất hiện kết tủa đỏ gạch do glucose khử Cu(OH)2/OH- thành Cu2O.

        c) Vai trò của NaHCO3 trong bước 3 là phản ứng với dung dịch HCl.

        d) Sản phẩm hữu cơ thu được sau bước 2 là α-glucose.

Xem chi tiếtXem đáp án và lời giải

Câu 2: Một loại chất béo có chứa 80% triglyceride X, 18% acid béo Y còn lại là các tạp chất không phản ứng với dung dịch NaOH, không tan trong nước. Khi đun nóng 1 kg chất béo trên với dung dịch NaOH thu được dung dịch chỉ chứa 1,01938 kg một muối hữu cơ (Z) duy nhất và 83,2579 gam glycerol. Biết hiệu suất các phản ứng đều đạt 100%, chỉ số acid của chất béo trên là x. (Chỉ số acid là số mg KOH cần để trung hòa hết lượng acid tự do có trong 1 gam chất béo).

        a) Số liên kết sigma trong Y bằng 55.


B. Hợp chất Z được cấu tạo bởi hai phần, phần đuôi dài kị nước và phần đầu ưu nước.

        c) Hợp chất X, Y, Z đều là hợp chất cộng hóa trị.

        d) Giá trị của x là 35,74 (kết quả các phép tính trung gian không được làm tròn chỉ làm tròn phép

tính cuối cùng đến chữ số phần trăm).

Xem chi tiếtXem đáp án và lời giải

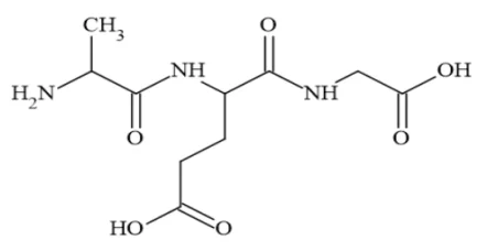
Câu 3: Cho hợp chất hữu cơ X có công thức cấu tạo như sau:

        a) Trong dung dịch X không làm đổi màu quỳ tím.

        b) % theo khối lượng của nguyên tử oxygen trong X là 35,91% (kết quả làm tròn đến hàng phần trăm)

        c) Trong dung dịch có pH =3, amino acid đầu N và đầu C của X đều di chuyển về cực âm của điện trường.

        d) X thuộc loại tripeptide, X phản ứng với Cu(OH)2 tạo phức màu tím.

Xem chi tiếtXem đáp án và lời giải

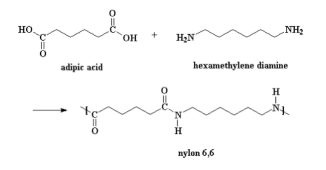
Câu 4: Tơ nilon - 6,6 được tổng hợp từ adipic acid và hexamethylene diamine qua phản ứng sau:

        a) Tơ nilon-6,6 có chứa liên kết CO-NH vì vậy tơ nilon - 6,6 là polypeptide.

        b) Tơ nilon - 6,6 kém bền trong môi trường acid và môi trường kiềm.

        c) Tơ nilon - 6,6 là tơ bán tổng hợp được điều chế bằng phản ứng trùng ngưng.

        d) Phân tử khối của một mắt xích trong nilon - 6,6 là 226 gam.

 

Xem chi tiếtXem đáp án và lời giải

PHẦN III. Câu trắc nghiệm trả lời ngắn. Thí sinh trả lời từ câu 23 đến câu 28.

Câu 1: Aniline được điều chế bằng cách cho nitrobenzene phản ứng với hydrogen theo phản ứng:

C6H5NO2 + 6H  C6H5NH2 + 2H2O.

Cho biết trong sản phẩm đi ra khỏi thiết bị phản ứng có thành phần phần trăm về khối lượng như sau:16,1% C6H5NO2; 18,6% C6H5NH2 với lượng còn lại là các sản phẩm vô cơ khác. Hiệu suất của phản ứng điều chế là bao nhiêu %. (Cho biết hiệu suất tính theo nitrobenzene và các phép tính trung gian không làm tròn, phép tính cuối cùng làm tròn đến hàng phần mười).

Xem chi tiếtXem đáp án và lời giải

Câu 2: Chất X mạch hở, có công thức phân tử C4H6O2. Đun nóng X với dung dịch NaOH thu được muối và alcohol. Số công thức cấu tạo phù hợp với X là.

Xem chi tiếtXem đáp án và lời giải

Câu 3: Poly(butylene terephthalate) (PBT) là một polymer kị nước, có đặc tính bền nhiệt, kháng hóa chất nên được sử dụng rộng rãi trong hệ thống đánh lửa của động cơ ô tô. PBT có công thức cấu tạo như sau:

Cho các nhận xét sau:

A. Poly(butylene terephthalate) thuộc loại polyester.

B. Đun nóng poly(butylene terephthalate) với dung dịch NaOH xảy ra phản ứng cắt mạch polymer.

3) Poly(butylene terephthalate) được tổng hợp từ 2 monomer đều là hợp chất hữu cơ tạp chức.

4) Poly(butylene terephthalate) tan nhiều trong nước vì tạo liên kết hydrogen với nước.

Số phát biểu đúng là bao nhiêu?

Xem chi tiếtXem đáp án và lời giải

Câu 4: Cho các phát biểu sau về carbohydrate:

A. Khi đun nóng fructose với Cu(OH)2/NaOH thu được kết tủa copper (I) oxide.

B. Amylopectin và cellulose đều là polymer phân nhánh.

3) Trong công nghiệp dược phẩm, saccharose được dùng để pha chế thuốc.

D. Trong dung dịch, glucose và saccharose đều hòa tan copper(II) hydroxide tạo phức màu xanh lam.

5) Tinh bột và cellulose đều là polysaccharide, khi đun với dung dịch sulfuric acid loãng, sản phẩm thu được đều có phản ứng với thuốc thử Tollens.

Những phát biểu đúng là (sắp xếp theo thứ tự từ bé đến lớn).

Xem chi tiếtXem đáp án và lời giải

Câu 5: Hiện nay, xăng sinh học E5 (xăng chứa 5% ethanol về thể tích) đang được sử dụng ở nước ta để thay thế một phần xăng truyền thống. Trong một nhà máy, ethanol được sản xuất từ cellulose theo sơ đồ sau.

        

Để sản xuất 1000 lít xăng E5 cần sử dụng bao nhiêu kg mùn cưa (chứa 50% cellulose). Biết ethanol có khối lượng riêng là 0,8 g/mL. (Các phép tính trung gian không được làm tròn, phép tính cuối cùng làm tròn đến hàng đơn vị).

Xem chi tiếtXem đáp án và lời giải

Câu 6: Cho sơ đồ phản ứng sau:

Lysine  X  Y

Biết dung dịch NaOH, HCl đều được dùng dư. X, Y đều là hợp chất hữu cơ. Phân tử khối của Y là bao nhiêu?

Xem chi tiếtXem đáp án và lời giải