Tài liệu hỗ trợ

Tải MIỄN PHÍ file Word kèm ma trận và lời giải chi tiết

Liên hệ Zalo 0915347068 để nhận file nhanh chóng.

Liên hệ Zalo 0915347068

29. SỞ BẮC NINH(Thi thử Tốt Nghiệp THPT 2026 môn Sinh Học)

(Đề thi có ... trang)

Môn thi: Sinh Học

Năm 2026

Thời gian làm bài: ... phút, không kể thời gian phát đề.

Họ, tên thí sinh:

Số báo danh:

PHẦN I. TRẮC NGHIỆM NHIỀU PHƯƠNG ÁN LỰA CHỌN

Câu 1: Sơ đồ sau đây thể hiện đột biến nào?

        A. Mất 1 cặp nucleotide.

        B. Thay thế 1 cặp nucleotide G–C bằng 1 cặp nucleotide A–T.

        C. Thêm 1 cặp nucleotide.

        D. Thay thế 1 cặp nucleotide.

Xem chi tiếtXem đáp án và lời giải

Câu 2: Đột biến nhiễm sắc thể (NST) gồm các dạng nào sau đây?

        A. Đột biến cấu trúc NST và đột biến lệch bội.         

B.  Đột biến cấu trúc NST và đột biến số lượng NST.         

C.  Đột biến đa bội và đột biến lệch bội.         

D.  Đột biến đa bội và đột biến số lượng.

Xem chi tiếtXem đáp án và lời giải

Câu 3: Ở một loài động vật ngẫu phối, xét một gene có hai allele, allele A trội hoàn toàn so với allele a. Có bốn quần thể thuộc loài này đều đang ở trạng thái cân bằng di truyền về gene trên và có tỉ lệ kiểu hình lặn như sau:

Trong các quần thể trên, quần thể nào có tần số kiểu gene dị hợp tử cao nhất?


A.  
Quần thể 1. 
B.  
Quần thể 2. 
C.  
Quần thể 3. 
D.  
Quần thể 4.

Xem chi tiếtXem đáp án và lời giải

Câu 4: Một trong những kĩ thuật được xem là giải pháp tiềm năng trong việc chữa trị các bệnh di truyền ở người là dùng virus làm vector để chuyển gene bình thường vào cơ thể người bệnh nhằm thay thế hoặc phục hồi chức năng cho gene bệnh, kĩ thuật này được gọi là liệu pháp gene. Có bao nhiêu phát biểu sau đây đúng về liệu pháp gene?

(1) Liệu pháp gene có thể được tiến hành ở tế bào sinh dục, tế bào gốc nhưng được tái lập trình thành tế bào soma.

(2) Việc chuyển gene ở tế bào soma có thể gây nguy hiểm cho thế hệ sau nên hiện nay liệu pháp gene chỉ mới được tiến hành ở tế bào sinh dục.

(3) Trong liệu pháp gene, việc sử dụng virus làm vector chuyển gene đảm bảo sự xâm nhập đúng vật chủ và khi xâm nhập, chúng sẽ không mang theo nucleic acid (gene cần chuyển) vào trong tế bào nhận.

(4) Trong liệu pháp gene, việc sử dụng virus làm vector chuyển gene có thể gây hư hỏng các gene khác vì virus không thể chèn gene lành đúng vị trí gene cần thay thế.


A.  
3. 
B.  
1. 
C.  
4. 
D.  
2.

Xem chi tiếtXem đáp án và lời giải

Câu 5: Ở sinh vật nhân thực, bào quan nào sau đây làm nhiệm vụ chuyển hóa năng lượng trong tế bào?


A.  
Bộ máy Golgi. 
B.  
Ti thể. 
C.  
Không bào. 
D.  
Ribosome.

Xem chi tiếtXem đáp án và lời giải

Câu 6: Trong công nghệ DNA tái tổ hợp, để cắt gene chuyển từ tế bào cho thì người ta sử dụng loại enzyme nào sau đây?


A.  
Restrictase. 
B.  
Nuclease. 
C.  
Ligase. 
D.  
Polymerase.

Xem chi tiếtXem đáp án và lời giải

Câu 7: Nguyên tắc bổ sung diễn ra theo từng bộ ba thể hiện ở quá trình

        A. Dịch mã.         

        B. Điều hòa hoạt động gene theo mô hình Operon.

        C. Nhân đôi DNA.         

        D. Phiên mã.

Xem chi tiếtXem đáp án và lời giải

Câu 8: Ở hình sau đây, tên gọi của quá trình số (2) là


A.  
Dịch mã. 
B.  
Tái bản DNA. 
C.  
Phiên mã ngược. 
D.  
Phiên mã.

Xem chi tiếtXem đáp án và lời giải

Câu 9: Hệ gene là

        A. tập hợp tất cả vật chất di truyền (DNA) trong tế bào của một sinh vật.

        B. toàn bộ các bào quan trong tế bào của một sinh vật.

        C. toàn bộ plasmid trong tế bào của một sinh vật.

        D. toàn bộ RNA trong tế bào của một sinh vật.

Xem chi tiếtXem đáp án và lời giải

Câu 10: Khi nói về quan hệ giữa kiểu gene, môi trường và kiểu hình, nhận định nào sau đây không đúng?

A.  Điều kiện môi trường cũng có thể ảnh hưởng trực tiếp đến sự biểu hiện đặc điểm kiểu hình của một kiểu gene.        

B.  Cùng một kiểu gene nhưng trong điều kiện môi trường khác nhau có thể cho ra những kiểu hình khác nhau.

C.  Kiểu gene tương tác với môi trường quy định kiểu hình của cơ thể sinh vật.

D.  Kiểu hình của cơ thể chỉ phụ thuộc vào kiểu gene mà không phụ thuộc vào môi trường.

Xem chi tiếtXem đáp án và lời giải

Câu 11: Sinh vật nào sau đây có cặp nhiễm sắc thể giới tính ở giới cái là XX, giới đực là XO?


A.  
Châu chấu. 
B.  
Sư tử. 
C.  
Chim. 
D.  
Ruồi giấm.

Xem chi tiếtXem đáp án và lời giải

Câu 12: Màu sắc của hoa loa kèn do gene nằm trong tế bào chất quy định, trong đó hoa vàng trội hoàn toàn so với hoa xanh. Lấy hạt phấn của cây hoa vàng thụ phấn cho cây hoa xanh được F₁. Cho F₁ tự thụ phấn, tỉ lệ kiểu hình ở F₂ là

        A. 100% hoa vàng.         

        B. trên mỗi cây đều có cả hoa vàng và hoa xanh.

        C. 100% hoa xanh.         

        D. 75% hoa vàng : 25% hoa xanh.

Xem chi tiếtXem đáp án và lời giải

Câu 13: Ở sinh vật nhân thực, mỗi nhiễm sắc thể có cấu tạo gồm

        A. một phân tử DNA mạch kép liên kết với nhiều loại protein khác nhau.

        B. một phân tử RNA mạch kép liên kết với nhiều loại protein khác nhau.

        C. hai phân tử RNA mạch đơn liên kết với nhiều loại protein giống nhau.

        D. hai phân tử DNA mạch đơn liên kết với nhiều loại protein giống nhau.

Xem chi tiếtXem đáp án và lời giải

Câu 14: Rễ cây trên cạn hấp thụ nước và ion khoáng chủ yếu qua


A.  
miền sinh trưởng. 
B.  
miền chóp rễ. 
C.  
miền trưởng thành. 
D.  
miền lông hút.

Xem chi tiếtXem đáp án và lời giải

Câu 15: Ở tế bào nhân sơ, thành tế bào được cấu tạo chủ yếu bằng


A.  
polypeptide. 
B.  
chitin. 
C.  
peptidoglycan. 
D.  
cellulose.

Xem chi tiếtXem đáp án và lời giải

Câu 16: Mendel đã tiến hành bảy phép lai một tính trạng và bảy tính trạng ở cây đậu Hà Lan là màu hoa, hình dạng hạt, chiều cao cây, màu hạt, hình dạng quả, màu quả và vị trí hoa trên cây. Mỗi tính trạng đều có hai đặc tính khác biệt nhau. Thí nghiệm nào sau đây không đúng với cách bố trí thí nghiệm của Mendel?


A.  
Cây hoa tím × Cây hoa trắng. 
B.  
Cây thân cao × Cây thân thấp.


C.  
Cây hạt vỏ trơn × Cây hạt vỏ nhăn. 
D.  
Cây hạt vàng × Cây hạt vỏ trơn.

Xem chi tiếtXem đáp án và lời giải

Câu 17: Khi nói về vai trò của hô hấp ở thực vật, phát biểu nào sau đây không đúng?

        A. Hô hấp giúp điều hòa cân bằng nồng độ O₂ trong khí quyển.

        B. Hô hấp tạo nhiệt để duy trì nhiệt độ thuận lợi cho các hoạt động sống của cây.

        C. Hô hấp tạo ATP cung cấp năng lượng cho nhiều hoạt động sống của cây.

D.  Hô hấp tạo ra các sản phẩm trung gian cho các quá trình tổng hợp các chất hữu cơ khác trong cây.

Xem chi tiếtXem đáp án và lời giải

Câu 18: Xét một cặp nhiễm sắc thể trong cơ thể sinh vật lưỡng bội có các cặp gene Mm, Nn, Oo và Pp. Một nhiễm sắc thể mang các allele MNOP và nhiễm sắc thể còn lại mang các allele mnop. Nếu tái tổ hợp di truyền xảy ra ở đoạn giữa các gene N và O thì kiểu gene của 2 giao tử được tạo ra bởi sự trao đổi chéo này lần lượt là


A.  
MNop và mnOP. 
B.  
MNoP và mNOp. 
C.  
MNOP và mnop. 
D.  
MNOp và mnoP.

 

Xem chi tiếtXem đáp án và lời giải

PHẦN II. TRẮC NGHIỆM ĐÚNG / SAI

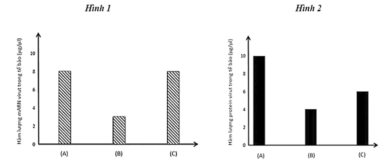
Câu 1: Để nghiên cứu tác động của 2 loại thuốc mới (thuốc X và Y) lên bệnh nhân nhiễm virus SARS-CoV-2, người ta tiến hành thử nghiệm trên tế bào người nuôi cấy in vitro.

Hàm lượng mRNA và protein virus lần lượt được mô tả trong biểu đồ 1 và biểu đồ 2. Biết rằng điều kiện thí nghiệm là như nhau.

Chú thích: (A) Mẫu đối chứng không dùng thuốc; (B) Thuốc X; (C) Thuốc Y

        a) Thuốc X làm giảm lượng mRNA của virus nhưng không làm thay đổi lượng protein virus so với mẫu đối chứng.

        b) Cơ chế tác động của thuốc Y là ngăn cản quá trình dịch mã của virus.

        c) Trong lâm sàng, phối hợp thuốc X và Y có thể làm giảm nhanh lượng virus vì ức chế hai giai đoạn liên tiếp của chu trình nhân lên.

        d) Nếu virus bị đột biến làm giảm khả năng gắn với thuốc Y, thì khi sử dụng thuốc Y, hàm lượng mRNA và protein của virus đột biến sẽ giảm mạnh hơn so với trường hợp virus chưa đột biến.

Xem chi tiếtXem đáp án và lời giải

Câu 2: Ở một loài động vật, khi cho cá thể lông đen, chân cao giao phối với cá thể lông xám, chân cao (P), thu được F₁ có tỉ lệ: 45% cá thể lông đen, chân cao: 5% cá thể lông đen, chân thấp: 21% cá thể lông xám, chân cao: 4% cá thể lông xám, chân thấp: 9% cá thể lông trắng, chân cao: 16% cá thể lông trắng, chân thấp. Biết rằng mỗi tính trạng do một gene nằm trên nhiễm sắc thể thường quy định, allele trội hoàn toàn và không xảy ra đột biến; nếu có hoán vị gene thì tần số hoán vị ở 2 giới là như nhau.

        a) Trong quá trình giảm phân của cơ thể P, đã xảy ra hoán vị gene với tần số 20%.

        b) Nếu cho cá thể lông xám, chân cao ở thế hệ P lai phân tích thì đời con sẽ có 10% cá thể lông xám, chân thấp.

        c) Lấy ngẫu nhiên 1 cá thể lông đen, chân cao ở F₁, xác suất thu được cá thể thuần chủng là 1/9.

        d) Nếu cho cá thể lông đen, chân cao ở thế hệ P lai phân tích thì đời con sẽ có 40% cá thể lông trắng, chân thấp.

Xem chi tiếtXem đáp án và lời giải

Câu 3: Một nghiên cứu tại New Zealand đã khảo sát tỉ lệ phụ nữ mắc bệnh đau tim ở các độ tuổi khác nhau, xét theo tình trạng sức khỏe (bị bệnh tiểu đường hoặc không bị bệnh tiểu đường) và thói quen (không hút thuốc lá hoặc có hút thuốc lá).

Kết quả thống kê thể hiện sự khác biệt về nguy cơ mắc bệnh giữa các nhóm đối tượng, giúp làm rõ mối quan hệ giữa tuổi tác, thói quen sinh hoạt và tình trạng bệnh lý đối với bệnh tim mạch ở phụ nữ. Bảng số liệu dưới đây cung cấp thông tin chi tiết về tỉ lệ mắc bệnh theo từng nhóm nghiên cứu.

        a) Tỉ lệ phụ nữ mắc bệnh đau tim tăng dần theo độ tuổi, ngay cả khi không bị tiểu đường và không hút thuốc lá.

        b) Hút thuốc lá có thể làm giảm hiệu quả của insulin và làm nặng thêm tình trạng rối loạn chuyển hóa ở người bị tiểu đường, từ đó gián tiếp làm tăng nguy cơ đau tim.

        c) Nếu một phụ nữ 50 tuổi bị tiểu đường muốn giảm nguy cơ mắc bệnh tim, điều duy nhất cô ấy cần làm là kiểm soát đường huyết.

        d) Bỏ thuốc lá là một biện pháp hiệu quả giúp giảm nguy cơ mắc bệnh tim ngay cả khi một người phụ nữ đã bị tiểu đường.

Xem chi tiếtXem đáp án và lời giải

Câu 4: Ở một loài thực vật, cho cây thân cao (P) tự thụ phấn thu được F₁ có tỉ lệ kiểu hình 56,25% cây thân cao : 43,75% cây thân thấp. Cho toàn bộ các cây thân cao F₁ giao phấn ngẫu nhiên tạo ra F₂. Biết rằng không có đột biến xảy ra và số cây con sinh ra ở các phép lai bằng nhau.

        a) Cơ thể ở thế hệ P mang một cặp gene dị hợp.

        b) Ở F₂ có tất cả 9 loại kiểu gene.

        c) Số cây thân thấp ở F₂ chiếm tỉ lệ 18,75%.

        d) Tỉ lệ cây mang hai cặp gene đồng hợp lặn ở F₂ là 1/81.

Xem chi tiếtXem đáp án và lời giải

PHẦN III. TRẮC NGHIỆM TRẢ LỜI NGẮN

Câu 1: Xét hệ gene trong nhân ở một loài động vật. Bảng dưới đây minh họa một chuỗi polynucleotide của một gene mã hóa cho chuỗi polypeptide có trình tự amino acid là MATE (mỗi chữ cái là 1 loại amino acid), các nucleotide từ số 1 đến số 5 chưa xác định.

Một đột biến mất một cặp nucleotide đã làm thay đổi chuỗi polypeptide thành MATEK.

Chuỗi polynucleotide ban đầu và chuỗi polynucleotide sau đột biến đều bắt đầu bằng bộ ba mở đầu và kết thúc bằng bộ ba kết thúc.

Có thể xác định chính xác loại nucleotide ở những vị trí nào? (Viết liền các số theo thứ tự từ bé đến lớn)

Xem chi tiếtXem đáp án và lời giải

Câu 2: Một học sinh tiến hành gieo hạt cải và thống kê số lượng cây con với các kiểu hình khác nhau về màu thân sau 10 ngày gieo hạt, thu được kết quả ở bảng dưới đây.

Biết rằng, màu thân cải do một gene có 2 allele quy định, allele B quy định thân màu tím đậm trội không hoàn toàn so với allele b quy định thân màu xanh, kiểu gene Bb quy định kiểu hình thân tím nhạt. Hãy xác định tần số allele B trong quần thể này (tính làm tròn đến 2 chữ số sau dấu phẩy).

Xem chi tiếtXem đáp án và lời giải

Câu 3: Hình bên cho thấy các loại giao tử chứa nhiễm sắc thể (NST) 14, 21 và 14/21 có thể được tạo thành từ các tế bào sinh trứng ở một người phụ nữ bị đột biến chuyển đoạn Robertson (một phần của NST 21 gắn vào NST 14).

Loại giao tử số mấy trong hình kết hợp với giao tử đực bình thường tạo thành hợp tử có các cặp NST 14 và 21 bình thường?

Xem chi tiếtXem đáp án và lời giải

Câu 4: Ở người, allele A quy định có kháng nguyên Xg trên bề mặt hồng cầu là trội hoàn toàn so với allele a quy định không có kháng nguyên Xg; allele B quy định da bình thường là trội hoàn toàn so với allele b quy định bệnh da vảy. Hai gene này cùng nằm trên vùng không tương đồng của NST giới tính X và cách nhau 10 cM. Biết rằng không có đột biến xảy ra. Trong quần thể, ở nam giới có tối đa bao nhiêu loại kiểu gene về hai tính trạng này?

Xem chi tiếtXem đáp án và lời giải

Câu 5: Ở một loài thực vật lưỡng tính, tính trạng màu hoa do 1 gene gồm 4 allele trội lặn hoàn toàn quy định. Thực hiện hai phép lai, thu được kết quả sau:

Phép lai 1: Cho cây hoa đỏ lai với cây hoa vàng (P), thu được F₁ có kiểu hình phân li theo tỉ lệ 2 cây hoa đỏ : 1 cây hoa vàng : 1 cây hoa hồng.

Phép lai 2: Cho cây hoa vàng lai với cây hoa trắng (P), thu được F₁ có kiểu hình phân li theo tỉ lệ 1 cây hoa hồng : 1 cây hoa vàng.

Cho biết không xảy ra đột biến. Nếu chọn các cây F₁ trong phép lai 1 làm bố, các cây F₁ trong phép lai 2 làm mẹ, thì khi cho các cây F₁ ở hai phép lai trên lần lượt lai với nhau, sẽ có bao nhiêu phép lai cho F₂ xuất hiện kiểu hình cây hoa vàng với tỉ lệ 50%?

Xem chi tiếtXem đáp án và lời giải

Câu 6: Giả sử có 4 chủng vi khuẩn mang đột biến liên quan đến operon lac. Các đột biến này được mô tả trong bảng sau:

Trong đó, các dấu cộng (+) chỉ gene hoặc thành phần có chức năng bình thường, dấu trừ (–) chỉ gene hoặc thành phần bị đột biến mất chức năng. Trong môi trường có đường lactose, những chủng nào không tạo ra sản phẩm β-galactosidase? (Viết liền các số theo thứ tự từ bé đến lớn)

Xem chi tiếtXem đáp án và lời giải