Câu 26: Vitamin A (retinol) là một chất dinh dưỡng thiết yếu, có vai trò quan trọng đối với quá trình tăng trưởng, giúp cho trẻ phát triển b...
Đề bài
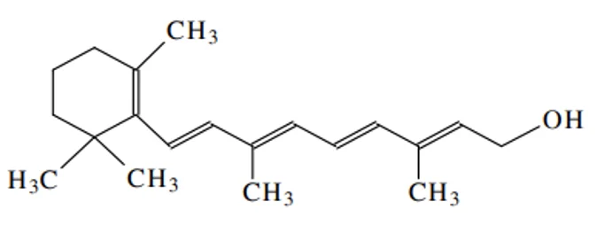
Câu 26: Vitamin A (retinol) là một chất dinh dưỡng thiết yếu, có vai trò quan trọng đối với quá trình tăng trưởng, giúp cho trẻ phát triển bình thường. Công thức của vitamin A được biểu diễn như sau:
Cho các phát biểu sau về vitamin A:
(1) Hydrogen chiếm 10,49% khối lượng phân tử.
(2) Là một hợp chất carboxylic acid.
(3) Công thức phân tử là C20H30O.
(4) Có 1 vòng và 5 liên kết π trong phân tử.
Số phát biểu đúng là bao nhiêu?


