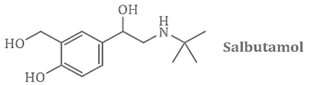
Câu 4. Salbutamol là hoạt chất sử dụng để sản xuất thuốc điều trị bệnh cho người (làm giãn phế quản, giãn cơn co tử cung,…), tuy nhiên chỉ đ...
Đề bài
Câu 4. Salbutamol là hoạt chất sử dụng để sản xuất thuốc điều trị bệnh cho người (làm giãn phế quản, giãn cơn co tử cung,…), tuy nhiên chỉ được sử dụng khi có chỉ định của bác sĩ. Trong chăn nuôi, Salbutamol thúc cho gia súc, gia cầm lớn nhanh hơn, tỉ lệ nạc cao hơn, màu sắc thịt đỏ hơn. Nếu con người ăn phải thịt gia súc, gia cầm được nuôi có sử dụng Salbutamol một thời gian dài thì sẽ làm cho tim đập nhanh, tăng huyết áp, run cơ, rối loạn tiêu hóa. Thậm chí, theo một số chuyên gia, đây là một trong những hoạt chất có khả năng gây ung thư nếu bị tích lũy nhiều trong cơ thể. Salbutamol có công thức cấu tạo thu gọn nhất như sau:
a) Trong y học, Salbutamol được dùng để sản xuất thuốc làm giãn phế quản giúp người bệnh dễ thở hơn.
b) Trong dung dịch nước, a mol Salbutamol có thể phản ứng tối đa với 3a mol NaOH.
c) Salbutamol tác dụng được với dung dịch nước bromine.
d) Salbutamol là hợp chất hữu cơ tạp chức, chứa đồng thời: 2 nhóm chức phenol, 1 nhóm chức alcohol và 1 nhóm chức amine bậc hai.







