Hóa HọcTừ đề thi
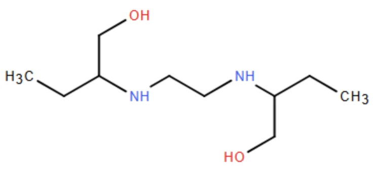
Câu 2: Ethambutol là một loại thuốc kháng sinh, có tác dụng trong điều trị các bệnh nhiễm trùng do vi khuẩn. Ethambutol có công thức cấu tạo...
Đề bài
Câu 2: Ethambutol là một loại thuốc kháng sinh, có tác dụng trong điều trị các bệnh nhiễm trùng do vi khuẩn. Ethambutol có công thức cấu tạo như hình bên.
Trong công thức của ethambutol có chứa những loại nhóm chức nào?
A. Nhóm chức amine và nhóm OH của phenol.
B. Nhóm chức amine và nhóm OH của alcohol.
C. Nhóm chức amide và nhóm chức ester.
D. Chỉ có nhóm OH của alcohol.

