Sinh HọcTừ đề thi

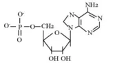
Câu 12. Cấu trúc nào được mô tả ở hình ảnh dưới đây? A. Amino acid. B. Nucleotide. C. Protein. D. Glycerol.

Đề bài

Câu 12. Cấu trúc nào được mô tả ở hình ảnh dưới đây?

        A. Amino acid.        B. Nucleotide.        C. Protein.        D. Glycerol.

Xem đáp án và lời giải

Câu hỏi HOT cùng chủ đề

Sinh Học

Câu 2. Khi môi trường có nhiệt độ cao và trong lục lạp của tế bào mô giậu có lượng hòa tan cao hơn t...

Đề bài

Câu 2. Khi môi trường có nhiệt độ cao và trong lục lạp của tế bào mô giậu có lượng  hòa tan cao hơn  thì cây nào sau đây không bị giảm lượng sản phẩm quang hợp?

        A. Dưa hấu.        B. Lúa nước.        C. Ngô.        D. Rau cải.

Sinh Học

Câu 3. Đặc trưng nào sau đây không phải là đặc trưng của quần thể? A. Thành phần loài. B. Nhóm tuổi....

Đề bài

Câu 3. Đặc trưng nào sau đây không phải là đặc trưng của quần thể?

        A. Thành phần loài.        B. Nhóm tuổi.        C. Mật độ cá thể.        D. Tỉ lệ giới tính.

Sinh Học

Câu 4. Hình vẽ dưới đây mô tả một cơ chế di truyền cấp độ phân tử đang diễn ra. Cấu trúc X trên hình...

Đề bài

Câu 4. Hình vẽ dưới đây mô tả một cơ chế di truyền cấp độ phân tử đang diễn ra. Cấu trúc X trên hình vẽ là

        A. DNA polymerase.        B. DNA ligase.        C. RNA polymerase.        D. Ribosome

Sinh Học

Câu 5. Theo quan điểm của Darwin, nhận định nào sau đây giải thích cho sự hình thành cổ dài của hươu...

Đề bài

Câu 5. Theo quan điểm của Darwin, nhận định nào sau đây giải thích cho sự hình thành cổ dài của hươu cao cổ?

A.  Hươu đứng dưới đất để gặm lá cây, lá cây cao dần nên chúng cố gắng vươn cao cổ để lấy thức ăn.

B.  Trong đàn hươu cổ ngắn xuất hiện một con hươu cổ dài, con cổ dài lấy thức ăn tốt hơn nên sống sót và sinh sản.

C.  Hươu non sinh ra, có con cổ dài, con cổ ngắn, những con cổ dài lấy thức ăn tốt hơn nên sống sót và con cháu ngày một đông.

D.  Trong đàn hươu cổ ngắn có thể xuất hiện một ít con cổ dài, con cổ dài lấy thức ăn tốt hơn nên sống sót và sinh sản.

Sinh Học

Câu 6. Vi khuẩn E.coli sản xuất insulin của người là thành quả của A. Dùng kỹ thuật vi tiêm B. Gây đ...

Đề bài

Câu 6. Vi khuẩn E.coli sản xuất insulin của người là thành quả của

        A. Dùng kỹ thuật vi tiêm        B. Gây đột biến nhân tạo

        C. Công nghệ DNA tái tổ hợp.        D. Lai hai tế bào xoma

Sinh Học

Câu 7. Sự thay đổi tần số allele của quần thể do tác động của các yếu tố ngẫu nhiên như lũ lụt, hạn...

Đề bài

Câu 7. Sự thay đổi tần số allele của quần thể do tác động của các yếu tố ngẫu nhiên như lũ lụt, hạn hán làm giảm số lượng cá thể của quần thể được gọi là:

        A. Dòng gene                B. Chọn lọc tự nhiên

        C. Phiêu bạt di truyền                D. Đột biến

Sinh Học

Câu 8. Khi đánh bắt cá ở 3 quần thể với số lượng như nhau vào cùng một thời điểm, người ta thu được...

Đề bài

Câu 8. Khi đánh bắt cá ở 3 quần thể với số lượng như nhau vào cùng một thời điểm, người ta thu được tỉ lệ nhóm tuổi các cá thể trong quần thể như sau:

Độ tuổi

Quần thể 1

Quần thể 2

Quần thể 3

Trước sinh sản

        

        

        

Đang sinh sản

        

        

        

Sau sinh sản

        

        

        

Bảng 2

Dựa vào thông tin bảng 2 hãy cho biết nhận xét nào sau đây là đúng?

A.  Quần thể 1 đang ở trạng thái phát triển.

B.  Quần thể 2 không nên tiếp tục đánh bắt.

C.  Quần thể 3 đang bị đánh bắt quá mức nên cần được bảo vệ.

D.  Quần thể 3 ổn định nhất.

Sinh Học

Câu 9. Khi xét nghiệm DNA để nhận lại họ hàng nhiều năm bị thất lạc do chiến tranh, người ta thu đượ...

Đề bài

Câu 9. Khi xét nghiệm DNA để nhận lại họ hàng nhiều năm bị thất lạc do chiến tranh, người ta thu được kết quả như hình dưới đây:

Biết rằng, đối tượng 3 (ĐT
C. nhỏ nhất khoảng 10 tuổi, đối tượng 1 (ĐT
A. lớn nhất trên dưới 60 tuổi, 2 đối tượng 2 và 4 (ĐT 2 và ĐT
D. có độ tuổi xấp xỉ nhau khoảng 30 tuổi. Sau khi đọc kết quả này, dịch vụ xét nghiệm DNA trả về cho họ kết quả như hình trên và các kết luận sau

(1) Cả 4 người đều có quan hệ họ hàng với nhau.

(2) Đối tượng 1 và 2 có quan hệ họ hàng gần hơn đối tượng 3 và
D.

(3) Đối tượng 1 và 2 có quan hệ họ hàng gần hơn đối tượng 2 và
C.

(4) Đối tượng 3 và 4 có quan hệ họ hàng xa nhất.

Kết luận chính xác là

A. (1) đúng, (2) sai, (3) sai, (4) đúng.

B. (1) đúng, (2) sai, (3) đúng, (4) đúng.

C. (1) đúng, (2) đúng, (3) sai, (4) đúng.

D. (1) đúng, (2) đúng, (3) sai, (4) sai.

Sinh Học

Câu 10. Ở cây trưởng thành, quá trình thoát hơi nước chủ yếu diễn ra qua con đường nào sau đây? A. K...

Đề bài

Câu 10. Ở cây trưởng thành, quá trình thoát hơi nước chủ yếu diễn ra qua con đường nào sau đây?

        A. Khí khổng và lớp cutin.        B. Lớp cutin.

        C. Khí khổng.                D. Biểu bì thân và rễ.

Sinh Học

Phần I. Câu trắc nghiệm nhiều phương án lựa chọn . Thí sinh trả lời từ câu 1 đến câu 18. Mỗi câu hỏi...

Đề bài

Phần I. Câu trắc nghiệm nhiều phương án lựa chọn. Thí sinh trả lời từ câu 1 đến câu 18. Mỗi câu hỏi thí sinh chỉ chọn một phương án.

Câu 1. Ở người, trên cánh ngắn của NST Y có gene SRY (sex-determining region Y gene) quy định giới tính nam. Vì vậy, giới tính được quyết định bởi việc có hay không có NST Y mang vùng gene ; Hình 3 mô tả 2 cặp NST giới tính (XX và XY) ở người bình thường. Một người nhìn bề ngoài là nam nhưng khi xét nghiệm NST bác sĩ nói rằng bản thân họ là nữ về mặt di truyền. Người đó có thể có cặp NST nào trong số 4 cặp NST giới tính ở Hình 4?

        A. Số 4        B. Số 2        C. Số 1        D. Số 3